TIÊU CHUẨN QUỐC GIA
TCVN 13537:2022
BÊ TÔNG – PHƯƠNG PHÁP SIÊU ÂM XÁC ĐỊNH KHUYẾT TẬT
Concrete – Ultrasonic method for defect detection
Lời nói đầu
TCVN 13537:2022 được xây dựng trên cơ sở tham khảo BS 1881:Part 203:1986 và EN 12504-4:2004.
TCVN 13537:2022 và TCVN 13536:2022 thay thế TCVN 9357:2012.
TCVN 13537:2022 do Viện Khoa học Công nghệ Xây dựng biên soạn, Bộ Xây dựng đề nghị, Tổng cục Tiêu chuẩn Đo lường Chất lượng thẩm định, Bộ Khoa học và Công nghệ công bố.
BÊ TÔNG – PHƯƠNG PHÁP SIÊU ÂM XÁC ĐỊNH KHUYẾT TẬT
Concrete – Ultrasonic method for defect detection
1 Phạm vi áp dụng
Tiêu chuẩn này hướng dẫn phương pháp đo vận tốc xung siêu âm để xác định các khuyết tật của bê tông trên kết cấu bê tông và bê tông cốt thép.
2 Tài liệu viện dẫn
Các tài liệu viện dẫn sau là cần thiết cho việc áp dụng tiêu chuẩn này. Đối với các tài liệu viện dẫn ghi năm công bố thì áp dụng bản được nêu. Đối với các tài liệu viện dẫn không ghi năm công bố thì áp dụng phiên bản mới nhất, bao gồm cả các sửa đổi, bổ sung (nếu có).
TCVN 5574:2018, Thiết kế kết cấu bê tông và bê tông cốt thép.
3 Thuật ngữ và định nghĩa
Trong tiêu chuẩn này áp dụng các thuật ngữ, định nghĩa như quy định trong TCVN 5574:2018 và các thuật ngữ định nghĩa sau:
3.1
Thời gian truyền (transit time)
Thời gian cần thiết để xung siêu âm truyền qua bê tông từ đầu phát tới đầu thu.
3.2
Gốc dùng để đếm thời gian (onset)
Mặt trước của xung do bộ đếm thời gian của thiết bị phát hiện ra.
3.3
Thời gian tăng (rise time)
Thời gian để mặt trước của xung đầu tiên tăng từ 10% đến 90% biên độ cực đại.
4 Thiết bị, dụng cụ
4.1 Máy phát xung siêu âm, bộ khuếch đại có khả năng phát ra và thu các xung siêu âm ở tần số thích hợp. Thiết bị sử dụng cần thỏa mãn các yêu cầu chất lượng sau:
– thiết bị cần phải đo được thời gian truyền sóng qua thanh hiệu chỉnh với độ lệch giới hạn ±0,1 µs và độ chính xác 2 %:
– xung điện kích thích cho đầu dò phát phải có thời gian tăng không lớn hơn một phần tư chu kỳ tự nhiên của bản thân để đảm bảo độ rõ nét của xung;
– khoảng thời gian giữa các xung phải đủ dài để đảm bảo gốc dùng để đếm thời gian của tín hiệu nhận được khi thử các mẫu bê tông kích thước nhỏ không bị nhiễu do dội âm từ chu kỳ trước đó.
– tần số lặp lại của xung cần phải đủ thấp sao cho gốc dùng để đếm thời gian của tín hiệu nhận được không bị nhiễu do phản xạ (dội âm).
4.2 Cặp đầu dò, bao gồm đầu phát và đầu thu. Tần số dao động của đầu dò cần nằm trong khoảng từ 20 kHz đến 150 kHz.
CHÚ THÍCH: Đầu dò có tần số dao động thấp tới 10 kHz và cao tới 200 kHz đòi khi cũng có thể sử dụng được. Xung dao động tần số cao có tín hiệu đầu rõ ràng nhưng khi truyền qua bê tông số bị tắt nhanh hơn so với xung dao động tần số thấp hơn. Khi đó, ưu tiên sử dụng đầu dò xung tần số cao (từ 60 kHz đến 200 kHz) cho khoảng cách ngắn (tới 50 mm) và đầu dò tần số thấp (từ 10 kHz tới 40 kHz) cho khoảng cách lớn (tới 15 m). Đầu dò tần số từ 40 kHz tới 60 kHz được sử dụng cho phần lớn các trường hợp.
4.3 Bộ thiết bị đếm thời gian dùng để đếm thời gian từ thời điểm xung được phát ra từ đầu phát đến thời điểm xung đến đầu thu. Thiết bị sử dụng phải có khả năng xác định thời gian đến của mặt trước của xung với ngưỡng thấp nhất có thể, ngay cả khi xung có biên độ nhỏ hơn so với nửa bước sóng đầu tiên của xung.
Có hai loại bộ thiết bị đếm thời gian điện tử:
a) dao động ký, hiển thị xung trên thang đo thời gian.
b) bộ đếm thời gian hiển thị bằng số đọc trực tiếp.
CHÚ THÍCH: Sử dụng dao động ký cho phép theo dõi dạng sóng của xung sẽ thuận lợi trong trường hợp tiến hành thí nghiệm tổ hợp hoặc trong hệ thống đo tự động.
4.4 Thanh chuẩn sử dụng để chuẩn số đo thời gian truyền xung.
4.5 Đá mài dùng để làm phẳng bề mặt bê tông vùng thí nghiệm.
4.6 Chất tiếp âm dùng để đảm bảo cầu nối dẫn âm giữa đầu dò và bề mặt bê tông.
5 Xác định vận tốc xung siêu âm
5.1 Bố trí đầu dò
Để đo vận tốc xung, có thể bố trí hai đầu dò trên hai mặt đối diện (truyền trực tiếp), trên hai mặt cạnh (truyền bán trực tiếp) hoặc trên cùng bề mặt (truyền không trực tiếp hoặc truyền bề mặt) (Hình 1) của kết cấu hoặc mẫu bê tông.
CHÚ THÍCH 1: Trường hợp hai đầu dò được đặt ở hai mặt đối diện nhưng không ở vị trí đối diện trực tiếp thì vẫn được coi là truyền bán trực tiếp.
CHÚ THÍCH 2: Sơ đồ truyền không trực tiếp có độ chính xác kém nhất và chi nên dùng khi chỉ tiếp cận được một bề mặt của bê tông hoặc khi quan tâm đến chất lượng bề mặt.
CHÚ THÍCH 3: Sơ đồ truyền bán trực tiếp được sử dụng khi không thể bố trí truyền trực tiếp, ví dụ như đo ở góc của kết cấu.
5.2 Đo chiều dài đường truyền
5.2.1 Trong trường hợp truyền trực tiếp, chiều dài đường truyền là khoảng cách ngắn nhất giữa hai đầu dò. Đo chiều dài đường truyền chính xác đến ± 1 %.
5.2.2 Trong trường hợp truyền bán trực tiếp, chiều dài đường truyền là khoảng cách giữa tâm hai mặt đầu dò. Độ chính xác của phép đo chiều dài đường truyền phụ thuộc vào kích thước của đầu dò so với khoảng cách giữa tâm hai đầu dò.
5.2.3 Trong trường hợp truyền không trực tiếp, không xác định chiều dài đường truyền mà tiến hành các phép đo với đầu dò được đặt ở các khoảng cách khác nhau (Phụ lục A).

CHÚ DẪN: T Đầu phát xung siêu âm R Đầu thu xung siêu âm
Hình 1 – Vị trí đặt đầu dò
5.3 Đặt đầu dò lên bề mặt bê tông.
5.3.1 Để đảm bảo độ tiếp âm tốt, bề mặt bê tông phải phẳng, nhẵn. Trong trường hợp bề mặt bê tông gồ ghề, không đều, cần làm phẳng bề mặt bê tông vùng thí nghiệm bằng cách mài hoặc sử dụng epoxy đóng rắn nhanh.
5.3.2 Sau khi bề mặt được làm phẳng và làm sạch, phết lên đó một lớp vật liệu như mỡ bò, mỡ bôi trơn, xà phòng mềm, hồ cao lanh / glyxerin, và ép chặt mặt đầu dò lên bề mặt bê tông.
CHÚ THÍCH: Một số loại đầu dò đặc biệt có thể sử dụng trên các bề mặt gồ ghề.
5.3.3 Theo dõi liên tục thời gian truyền xung đến khi đo được giá trị nhỏ nhất (chứng tỏ chiều dày tiếp xúc giữa đầu dò và bề mặt đạt giá trị nhỏ nhất).
5.4 Đo thời gian truyền xung
Đọc khoảng thời gian truyền xung hiển thị trên thiết bị điện tử theo hướng dẫn của nhà sản xuất.
5.5 Tính toán vận tốc xung
5.5.1 Trong trường hợp truyền trực tiếp và bán trực tiếp, vận tốc xung (V), tính bằng kilômét trên giây (km/s), chính xác đến 0,01 km/s, được xác định theo công thức:
|
|
(1) |
trong đó:
L là khoảng cách truyền xung, tính bằng milimét (mm);
T là thời gian truyền xung, tính bằng micro giây (µs).
5.5.2 Trong trường hợp truyền xung không trực tiếp, vận tốc xung được xác định theo Phụ lục A.
5.6 Yếu tố ảnh hưởng đến tốc độ xung
Các yếu tố ảnh hưởng cần tính đến khi xác định vận tốc xung được trình bày trong Phụ lục B.
6 Đánh giá khuyết tật
6.1 Đánh giá độ đồng nhất và dò tìm các lỗ rỗng khí
6.1.1 Độ đồng nhất của bê tông được đánh giá thông qua các chỉ số thống kê như độ lệch chuẩn hay hệ số biến động vận tốc xung siêu âm truyền qua bê tông xác định tại các điểm của một lưới đo có khoảng cách phù hợp. Để đánh giá độ đồng nhất của bê tông nên sử dụng sơ đồ truyền trực tiếp.
6.1.2 Xác định vị trí các lỗ rỗng khí hoặc khuyết tật khác có kích thước lớn hơn khoảng 100 mm ở độ sâu khoảng hơn 100 mm được thực hiện nhờ hiệu ứng làm chậm vận tốc khi xung siêu âm truyền qua các khuyết tật này. Các lỗ rỗng khí có kích thước nhỏ hoặc bị lấp đầy bởi các chất lỏng có khả năng dẫn truyền xung có thể ảnh hưởng ít hoặc không ảnh hưởng đến vận tốc xung.
6.1.3 Việc dò tìm vị trí lỗ rỗng khí được thực hiện dựa trên giả định rằng xung được truyền theo đường ngắn nhất giữa hai đầu dò, vòng qua lỗ rỗng và bê tông ở quanh lỗ rỗng khí là đồng nhất, đặc chắc và có thể đo được vận tốc xung ở đó.
6.1.4 Trên kết cấu hoặc cấu kiện cần kiểm tra, kẻ lưới đo có kích thước ô lưới phù hợp với kích thước của lỗ rỗng sao cho các lỗ rỗng giả định này nằm trên đường truyền trực tiếp giữa hai đầu dò.
6.1.5 Đo vận tốc xung siêu âm tại các điểm trên lưới đo đã kẻ.
6.1.6 Dựng các đường đồng mức vận tốc xung siêu âm trên cấu kiện hoặc kết cấu bê tông. Các vị trí có sự suy giảm đáng kể vận tốc xung siêu âm là các vị trí nghi ngờ có lỗ rỗng hoặc các khuyết tật khác.
6.2 Ước tính chiều sâu vết nứt bề mặt
6.2.1 Ước tính chiều sâu vết nứt bề mặt bằng siêu âm được áp dụng cho các vết nứt (nhìn thấy được bằng mắt thường) vuông góc với bề mặt kết cấu hoặc cấu kiện với giả định chất lượng bê tông vùng lân cận vết nứt là đồng nhất. Phương pháp này không áp dụng cho các vết nứt đã khép lại do bị nén (như ở cọc chịu lực) và các vết nứt bị lấp đầy bằng chất lỏng có khả năng dẫn truyền xung.
6.2.2 Kiểm tra vết nứt có vuông góc với bề mặt hay không tiến hành như sau:
– Đặt hai đầu dò gần vết nứt như Hình 2a và đo thời gian truyền xung tại vị trí ban đầu;
– Dịch chuyển dần một đầu dò ra xa vết nứt và đo các giá trị thời gian truyền xung tương ứng;
– Vết nứt được đánh giá là xiên về phía đầu dò di chuyển nếu như khi di chuyển ra xa, thời gian truyền xung giảm.
6.2.3 Ước tính chiều sâu vết nứt vuông góc với bề mặt có thể đặt thực hiện theo hai phương án bố trí đầu dò, bao gồm phương án dịch chuyển hai đầu dò và phương án dịch chuyển một đầu dò.
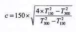
6.2.4 Theo phương án dịch chuyển hai đầu dò, đặt hai đầu dò tại hai bên, cách đều vết nứt như Hình 2b. Đo thời gian truyền xung tương ứng với khoảng cách giữa đầu dò và vết nứt bằng 150 mm và 300 mm. Chiều sâu vết nứt (c), tính bằng milimét (mm), được xác định theo công thức:
|
|
(2) |
trong đó:
T150 là thời gian truyền xung ứng với khoảng cách giữa đầu dò và vết nứt bằng 150 mm, tính bằng microgiây (µs);
T300 là thời gian truyền xung ứng với khoảng cách giữa đầu dò và vết nứt bằng 300 mm, tính bằng microgiây (µs).
|
|
|
|
a) Bố trí đầu dò xác định vết nứt xiên |
b) Bố trí đầu dò ước tính chiều sâu vết nứt |

c) Ảnh hưởng của vết nứt đến kết quả đo
CHÚ DẪN:
T Đầu phát xung siêu âm R Đầu thu xung siêu âm
X Khoảng cách giữa đầu dò và vết nứt
Hình 2 – Phương pháp siêu âm ước tính chiều sâu vết nứt
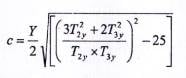
6.2.5 Theo phương án dịch chuyển một đầu dò, đặt cố định đầu phát cách vết nứt một khoảng bằng 2.5 x y. Đặt đầu thu tại các điểm cách đầu phát một khoảng lần lượt bằng y, 2 x y và 3 x y theo hướng vuông góc với vết nứt. Đo thời gian truyền xung tương ứng với các khoảng cách nói trên.
Đường tương quan giữa thời gian truyền xung và khoảng cách giữa hai đầu dò sẽ có dạng như Hình 2c (theo đó y = 150 mm).
Nếu phần kéo dài của đường thẳng đi qua hai điểm (y,Ty) và (2 x y,T2y) đi qua gốc 0 thì không có vết nứt ẩn và chiều sâu vết nứt c được tính theo công thức:
|
|
(3) |
trong đó:
T2y là thời gian truyền xung ứng với khoảng cách giữa đầu phát và đầu thu bằng 2 x y, tính bằng microgiây (µs);
T3y là thời gian truyền xung ứng với khoảng cách giữa đầu phát và đầu thu bằng 3 x y, tính bằng microgiây (µs).
6.3 Ước tính chiều dày lớp bê tông bề mặt chất lượng kém
6.3.1 Ước tính chiều dày lớp bê tông bề mặt chất lượng kém (do thi công hoặc do các tác động trong quá trình sử dụng) dựa vào thay đổi tốc độ truyền xung được áp dụng cho các bề mặt đủ lớn khi lớp bê tông bề mặt chất lượng kém có chiều dày tương đối đồng đều và có mức chênh lệch chất lượng đáng kể so với bê tông kết cấu phía dưới.
6.3.2 Để dự đoán chiều dày lớp bê tông bề mặt chất lượng kém, đặt cố định đầu phát tại một điểm trên bề mặt bê tông, đầu thu được đặt tại các điểm trên cùng một đường thẳng, với khoảng cách tăng dần so với đầu phát (Hình 3a). Đo thời gian truyền xung tương ứng với các khoảng cách đã đặt.
6.3.3 Xây dựng đường tương quan giữa vận tốc truyền xung và khoảng cách giữa hai đầu dò (Hình 3b). Ở khoảng cách ngắn, xung siêu âm sẽ truyền qua lớp bê tông bề mặt và độ dốc tg(α) của đoạn đường tương quan cho biết vận tốc xung trong lớp bề mặt này. Ở khoảng cách đủ lớn, xung siêu âm đầu tiên thu được là xung, sau khi đi qua mặt phân cách giữa hai lớp, được truyền trong lớp bê tông có chất lượng tốt ở dưới. Khi đó, độ dốc của đoạn đường tương quan này cho biết vận tốc xung trong lớp bê tông ở dưới.
6.3.4 Trên đồ thị, xác định điểm x0 là điểm mà ở đó, độ dốc của đường tương quan thay đổi.
6.3.5 Xác định vận tốc xung siêu âm trong lớp bê tông bề mặt chất lượng kém và trong lớp bê tông chất lượng tốt bên dưới dựa trên độ dốc của các đoạn của đường tương quan trước và sau điểm x0 trên đồ thị.

a) Bố trí đầu dò xác định chiều dày lớp bê tông bề mặt chất lượng kém

b) Tương quan giữa thời gian truyền xung và khoảng cách giữa hai đầu dò
CHÚ DẪN:
T Đầu phát xung siêu âm
R Đầu thu xung siêu âm
X Khoảng cách giữa đầu phát và đầu thu
I Đường tương quan với bê tông có lớp bê tông bề mặt chất lượng kém dày 150mm
II Đường tương quan với bê tông chất lượng đồng đều..
Hình 3 – Phương pháp siêu âm ước tính chiều dày lớp bê tông bề mặt chất lượng kém
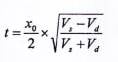
6.3.6 Chiều dày lớp bê tông bề mặt chất lượng kém (t), tính bằng milimét (mm), được xác định theo công thức sau:
|
|
(4) |
trong đó:
Vd là vận tốc xung siêu âm trong lớp bê tông bề mặt chất lượng kém, tính bằng kilômét trên giây (km/s);
Vs là vận tốc xung siêu âm trong lớp bê tông chất lượng tốt ở dưới, tính bằng kilômét trên giây (km/s);
x0 là khoảng cách tới điểm đường tương quan thay đổi độ dốc, xác định trên đồ thị theo 6.3.4, tính bằng milimét (mm).
7 Báo cáo thử nghiệm
Báo cáo thử nghiệm bao gồm ít nhất các thông tin sau:
a) Thông tin về kết cấu cần thử nghiệm;
b) Thông tin về bê tông thử nghiệm;
c) Ngày thử nghiệm;
d) Yêu cầu thử nghiệm;
e) Thiết bị sử dụng (bao gồm tần số của xung và các thông số khác);
f) Sơ đồ bố trí đầu dò và đường truyền;
g) Chiều dài đường truyền, thời gian truyền xung tại mỗi vị trí;
h) Vận tốc xung và các hiệu chỉnh (nếu có);
i) Các biểu đồ (nếu có);
j) Kết quả đánh giá độ đồng nhất và dò tìm các lỗ rỗng khí, ước tính chiều sâu vết nứt, chiều dày lớp bê tông bề mặt chất lượng kém (theo yêu cầu);
k) Viện dẫn tiêu chuẩn này;
l) Người thử nghiệm.
Phụ lục A
(Quy định)
Xác định vận tốc xung khi truyền không trực tiếp
A.1 Khi truyền xung không trực tiếp có một số bất định liên quan đến chiều dài chính xác của đường truyền do kích thước đáng kể của vùng tiếp xúc giữa đầu dò và bê tông. Do đó, nên xác định một loạt phép đo với đầu đo được đặt ở các khoảng cách khác nhau để giảm thiểu bất định này.
A.2 Đặt đầu phát tiếp xúc với bề mặt bê tông tại một điểm x cố định. Đầu thu được đặt với khoảng cách tăng dần định trước xn dọc theo một trục chọn sẵn trên bề mặt. Vẽ đồ thị biểu diễn tương quan giữa thời gian truyền ghi nhận được với khoảng cách giữa các đầu dò (Hình A.1).
A.3 Vận tốc trung bình của xung theo trục chọn sẵn trên bề mặt bê tông được xác định bằng độ dốc của đường thẳng kẻ qua các điểm (tgφ). Nếu các điểm trên đồ thị thể hiện sự không liên tục (xem B.7, Phụ lục B) có thể xác định rằng có vết nứt bề mặt hoặc lớp bê tông bề mặt có chất lượng kém và vận tốc xung đo được trong trường hợp này là không đáng tin cậy.

CHÚ DẪN: T Đầu phát xung siêu âm R Đầu thu xung siêu âm.
Hình A.1 – Xác định vận tốc xung truyền không trực tiếp
Phụ lục B
(Tham khảo)
Các yếu tố ảnh hưởng tới phép đo vận tốc xung
B.1 Tổng quan
Để phép đo vận tốc xung có độ lặp cần thiết và phản ánh đúng tính chất của bê tông thí nghiệm, cần phải chú ý tới một số các yếu tố ảnh hưởng đến vận tốc xung và tương quan của chúng với các tính chất vật lý của bê tông.
B.2 Độ ẩm
Độ ẩm có ảnh hưởng vật lý và hóa học tới vận tốc xung. Các ảnh hưởng này có ý nghĩa quan trọng trong việc thiết lập tương quan để đánh giá cường độ bê tông. Có thể có sụ khác biệt đáng kể về vận tốc xung xác định trên bê tông của mẫu đúc tiêu chuẩn hình lập phương hoặc hình trụ được bảo dưỡng tốt và trên kết cấu hoặc cấu kiện được chế tạo từ cùng loại bê tông. Phần lớn sự khác biệt này là do ảnh hưởng của điều kiện bảo dưỡng khác nhau tới thủy hóa xi măng, trong khi một số khác biệt gây ra bởi nước tự do trong các lỗ rỗng. Các ảnh hưởng này cần phải được tính đến khi đánh giá cường độ bê tông
B.3 Nhiệt độ bê tông
Nhiệt độ bê tông trên kết cấu trong khoảng 10 °C đến 30 °C không gây ảnh hưởng đáng kể. Hiệu chỉnh vận tốc xung chỉ cần thực hiện khi nhiệt độ bê tông nằm ngoài khoảng trên tuân theo hướng dẫn trong các tài liệu liên quan.
B.4 Chiều dài đường truyền
Do tính không đồng nhất của bê tông, đường truyền phải đủ dài để không gây ảnh hưởng đáng kể tới kết quả đo vận tốc xung. Ngoài các hướng dẫn trong trong B.5, chiều dài đường truyền phải đạt ít nhất 100 mm với bê tông sử dụng cốt liệu có kích thước hạt lớn nhất nhỏ hơn hoặc bằng 20 mm, 150 mm với bê tông sử dụng cốt liệu có kích thước hạt lớn nhất từ 20 mm đến 40 mm. Nhìn chung, vận tốc xung không bị ảnh hưởng bởi sự thay đổi chiều dài đường truyền, mặc dù bộ đếm thời gian điện tử có thể hiển thị tốc độ xung nhỏ hơn khi tăng chiều dài đường truyền. Điều này xảy ra do tần số cao của xung bị suy giảm nhiều hơn so với tần số thấp và dạng tín hiệu đầu của xung bị biến đổi lớn hơn khi tăng khoảng cách truyền xung. Do đó, sự suy giảm biểu kiến của vận tốc xung gia tăng do khó xác định chính xác gốc dùng để đếm thời gian và phụ thuộc vào phương pháp xác định cụ thể. Thông thường, sự suy giảm biểu kiến của vận tốc là khá nhỏ, nằm trong phạm vi sai số của phép đo thời gian trong 4.1. Tuy nhiên cần chú ý khi xung được truyền qua đường truyền dài.
B.5 Hình dạng và kích thước mẫu
Vận tốc các xung ngắn của các dao động không phụ thuộc vào hình dạng và kích thước của mẫu thí nghiệm, trừ phi kích thước nhỏ nhất của cạnh bên nhỏ hơn giá trị tối thiểu quy định. Dưới giá trị đó, vận tốc xung có thể bị suy giảm đáng kể. Suy giảm vận tốc xung phụ thuộc chủ yếu vào tỷ lệ giữa bước sóng của xung dao động với kích thước nhỏ nhất của cạnh bên của mẫu và có thể coi là không đáng kể nếu tỷ lệ này nhỏ hơn 1. Quan hệ giữa vận tốc xung trong bê tông, tần số đầu dò và các khuyến cáo về kích thước tối thiểu cho phép của cạnh bên của mẫu được trình bày tại Bảng B.1.
Nếu như kích thước nhỏ nhất của cạnh bên nhỏ hơn bước sóng hoặc nếu đo theo sơ đồ truyền không trực tiếp thì dạng lan truyền sẽ thay đổi và do đó vận tốc đo được sẽ khác đi. Điều này có ý nghĩa quan trọng khi so sánh các cấu kiện bê tông với kích thước khác nhau.
Bảng B.1 Ảnh hưởng của kích thước mẫu tới truyền xung
|
Tần số đầu dò kHz |
Vận tốc xung trong bê tông km/s |
||
|
3,50 |
4,00 |
4,50 |
|
|
Khuyến cáo kích thước cạnh bên nhỏ nhất của mẫu, mm |
|||
|
24 |
146 |
167 |
188 |
|
54 |
65 |
74 |
83 |
|
82 |
43 |
49 |
55 |
|
150 |
23 |
27 |
30 |
B.6 Ảnh hưởng của thép cốt
Nếu có thể, nên hạn chế đo vận tốc xung siêu âm tại các vùng lân cận thép cốt chạy song song với hướng truyền xung.
B.7 Vết nứt và lỗ rỗng
Khi trên đường truyền qua bê tông, xung siêu âm gặp bề mặt phân cách bê tông – khí thì chỉ một phần nhỏ năng lượng được truyền qua. Do đó, mọi vết nứt (được điền đầy bởi không khí) hoặc lỗ rỗng nằm trực tiếp giữa hai đầu dò sẽ cản trở chùm siêu âm trực tiếp khi chiều dài của lỗ rỗng lớn hơn chiều rộng của đầu dò và bước sóng âm sử dụng. Khi đó, xung đầu tiên tới đầu thu sẽ bị nhiễu xạ xung quanh vùng khuyết tật và làm chậm thời gian truyền so với khi truyền qua bê tông tương tự không có khuyết tật.
Phụ thuộc vào khoảng cách giữa các đầu dò, có thể sử dụng hiệu ứng này để định vị các khe nứt, lỗ rỗng hoặc các khuyết tật khác có đường kính hoặc chiều sâu lớn hơn 100 mm. Các khuyết tật kích thước tương đối nhỏ ít ảnh hưởng hoặc không ảnh hưởng tới thời gian truyền. Đồ thị đường đẳng tốc thường cho các thông tin quan trọng về chất lượng của bê tông. Độ suy giảm của tín hiệu cũng có thể cho các thông tin có ích.
Trong các cấu kiện bị nứt, khi các mặt nứt của cấu kiện được ép tiếp xúc chặt vào nhau dưới lực nén thì năng lượng xung có thể được truyền qua vết nứt mà không bị cản trở. Ví dụ, trường hợp này có thể xảy ra với vết nứt của cọc đứng chịu lực. Nếu vết nứt được điền đầy bằng chất lỏng có khả năng dẫn truyền năng lượng siêu âm, ví dụ như ở kết cấu trong môi trường biển hoặc nếu một phần vết nứt được lấp bằng các hạt rắn thì không thể xác định được vết nứt bằng thiết bị hiển thị số. Trong trường hợp này, phép đo độ suy giảm tín hiệu có thể cho các thông tin có ích.
Đo khảo sát tại các điểm theo một lưới kẻ trên bề mặt cấu kiện bê tông cho phép khảo sát các lỗ rỗng lớn bằng cách đo thời gian truyền xung khi các đầu dò được đặt sao cho lỗ rỗng nằm trên đường truyền giữa chúng. Đánh giá kích thước các lỗ rỗng dựa trên giả thiết rằng xung truyền dọc theo quãng đường ngắn nhất với thời gian nhỏ nhất giữa các đầu cảm biến và quanh lỗ rỗng. Đánh giá này chỉ xác đáng khi bê tông quanh lỗ rỗng có cùng độ đặc chắc và có thể đo vận tốc xung ở bê tông này.
Mục lục
1 Phạm vi áp dụng
2 Tài liệu viện dẫn
3 Thuật ngữ và định nghĩa
4 Thiết bị, dụng cụ
5 Xác định vận tốc xung siêu âm
6 Đánh giá khuyết tật
7 Báo cáo thử nghiệm
Phụ lục A (Quy định) Xác định vận tốc xung khi truyền không trực tiếp
Phụ lục B (Tham khảo) Các yếu tố ảnh hưởng tới phép đo vận tốc xung





